0 تصويتات
في تصنيف آراء بواسطة (2.0مليون نقاط)
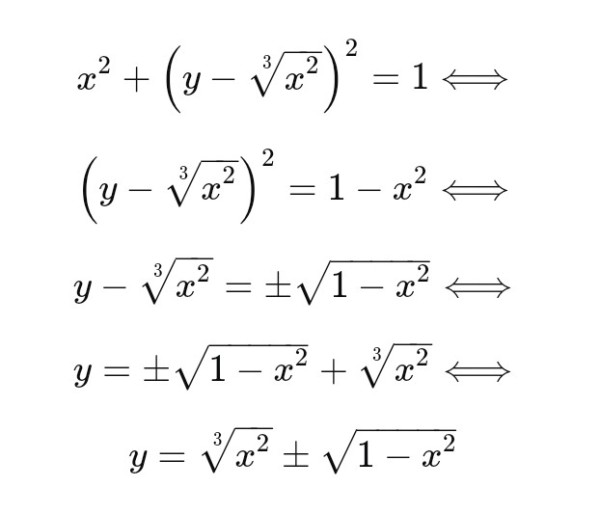
حل المعادلة 2/3 x^2+(y-∛(x^2 ))^2=1 هو؟

ماهو حل المعادلة 2/3 x^2+(y-∛(x^2 ))^2=1 هو؟

ما معنى 2/3 x^2+(y-∛(x^2 ))^2=1 هو؟

يبحث الأشخاص عن حلول واجبات وأسئلة المناهج الدراسية في موقع خطوات محلوله " khatawat7.net " الذي يجيب على المتصفح والباحث بأسرع وقت من خلال الكادر التعليمي المتخصص في جميع المجالات متحرياً مصداقية ومصدر المعلومات ليرفد الزائر بمعلومة قيمة تلبي طلبة.

عزيزي التلميذ موقعكم خطوات محلوله مهتم بك لنجعلك متفوق على زملائك في جميع المراحل الدراسية فنحن نشرح ونفصل لنحقق قفزة نوعية في مستوى ذكائك ونباهة تفكيرك لتصبح من أوائل الطلبة في صفك الدراسي.

وحل السؤال حل المعادلة 2/3 x^2+(y-∛(x^2 ))^2=1 هو؟ الحل هو كما في الصورة أدناه (2/3)x2+(y−x(2/3))2=1

نفرض أن F=x(2/3)،

وعند حلها بالدرجة الثالثة (2/3)F3+(y−F)2=1 يصبح ايجاد المعكوس للدرجة الثالثة يكون هناك صعوبة في حلها.

1 إجابة واحدة

0 تصويتات
بواسطة (2.0مليون نقاط)

حل المعادلة 2/3 x^2+(y-∛(x^2 ))^2=1 هو؟شرح وحل المعادلة 2/3 x^2+(y-∛(x^2 ))^2=1 هو؟ الجواب كما في الصورة أعلاه.

اسئلة متعلقة

0 تصويتات
1 إجابة
سُئل سبتمبر 19، 2021 في تصنيف آراء بواسطة خطوات محلوله (2.0مليون نقاط)
0 تصويتات
1 إجابة
0 تصويتات
1 إجابة
مرحبًا بك في خطوات محلولة حيث يمكنك طرح الأسئلة وانتظار الإجابة عليها من المستخدمين الآخرين.
...